Answers to Self-Study Questions
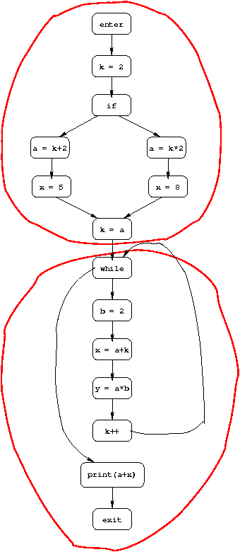
Test Yourself #1
The constant-propagation information is in red, and the live-variables
information is in green.
Test Yourself #2
The definition of the may be uninitialized problem is as follows:
- An individual dataflow fact is a set of variables (those that
might be uninitialized), so the domain D of dataflow facts is
the set of all sets of variables.
- The combining (meet) operator is set union.
- The initial dataflow fact (what is true at the entry node)
is the set of all variables in the program.
- This is a GEN/KILL problem, so for each CFG node n, the dataflow
function is of the form
fn(S) = S - KILLn union GENn.
The KILL set for node n is the set of variales defined at n,
and the GEN set is always empty.
Test Yourself #3
Here are the dataflow equations for live analysis.
Note that the meet operator (⌈⌉) is set
union.
enter.after = 1.before
1.before = 1.after - {x}
1.after = 2.before
2.before = 2.after - {y} union {x}
2.after = 3.before
3.before = 3.after
3.after = exit.before ⌈⌉ 4.before
4.before = 4.after union {y}
4.after = 3.before
exit.before = empty-set
| Variable |
Least Solution |
Greatest Solution |
| 1.before |
{ } |
{ } |
| 1.after |
{ x } |
{ x } |
| 2.before |
{ x } |
{ x } |
| 2.after |
{ y } |
{ x, y} |
| 3.before |
{ y } |
{ x, y} |
| 3.after |
{ y } |
{ x, y } |
| 4.before |
{ y } |
{ x, y} |
| 4.after |
{ y } |
{ x, y } |
The solution we want is the least solution.
Test Yourself #5
Test Yourself #6